Randall Hall

fig1 

Emeritus Professor  - Physical

Bachelor's Degree(s): University of California, Berkeley, 1978

PhD: Columbia University, 1984

PostDoc: University of Illinois, 1984-1986

Phone: (225) 578-3472

Fax: (225) 578-3458

E-mail: rhall@lsu.edu

Office: 427 Choppin Hall

Current and Former Students

Area of Interest

I use statistical mechanics to study systems ranging from the bulk to clusters of just a few atoms. Our goal is to elucidate, through the judicious use of physical models and state-of-the-art calculations, the factors that govern the behavior of these systems. The different areas of my research are described below.

Structure, thermodynamics, and kinetics of combustion generated nanoparticles

Combustion generated nanoparticles are a potential health hazard. These particles are small enough to be inhaled and may catalyze or facilitate the formation of hazardous chemicals such as dioxins. We believe metal oxide nanoparticles are formed during the incineration process and a collaboration with Professors Dellinger, Poliakoff, and McCarley seeks to understand the growth and reaction mechanisms for metal oxide particles. The figure shows some copper oxide clusters currently under examination.

 

The figure shows some copper oxide clusters currently under examination



Optimized structures of neutral, positive and negative charged (CuO)n clusters with n=1-5. White atoms are Cu and black atoms are O.

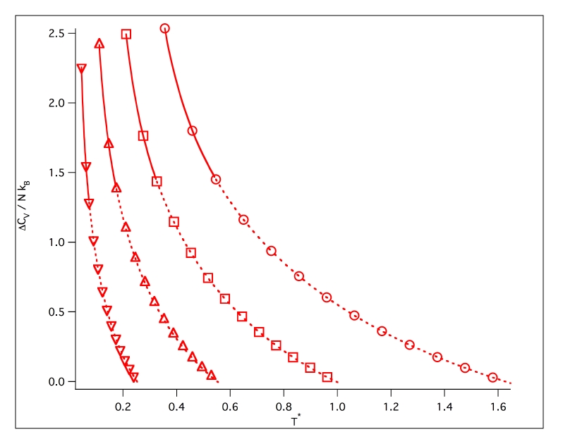
Dynamics and aging of glassy materials

This project studies the diffusion and aging mechanisms in glassy materials ranging from simple monatomic glasses to polymer/flame retardant mixtures. The latter mixtures are used to make computer monitors, among other things. Preventing the diffusion of toxic flame retardants (typically, brominated aromatics) to the surface of the computer monitor is an important practical issue. 

Heat capacity as a function of temperature for a monatomic glass for a series of densities

Heat capacity as a function of temperature for a monatomic glass for a series of densities. The curves use solid (dashed) lines for temperatures below (above) T*g.

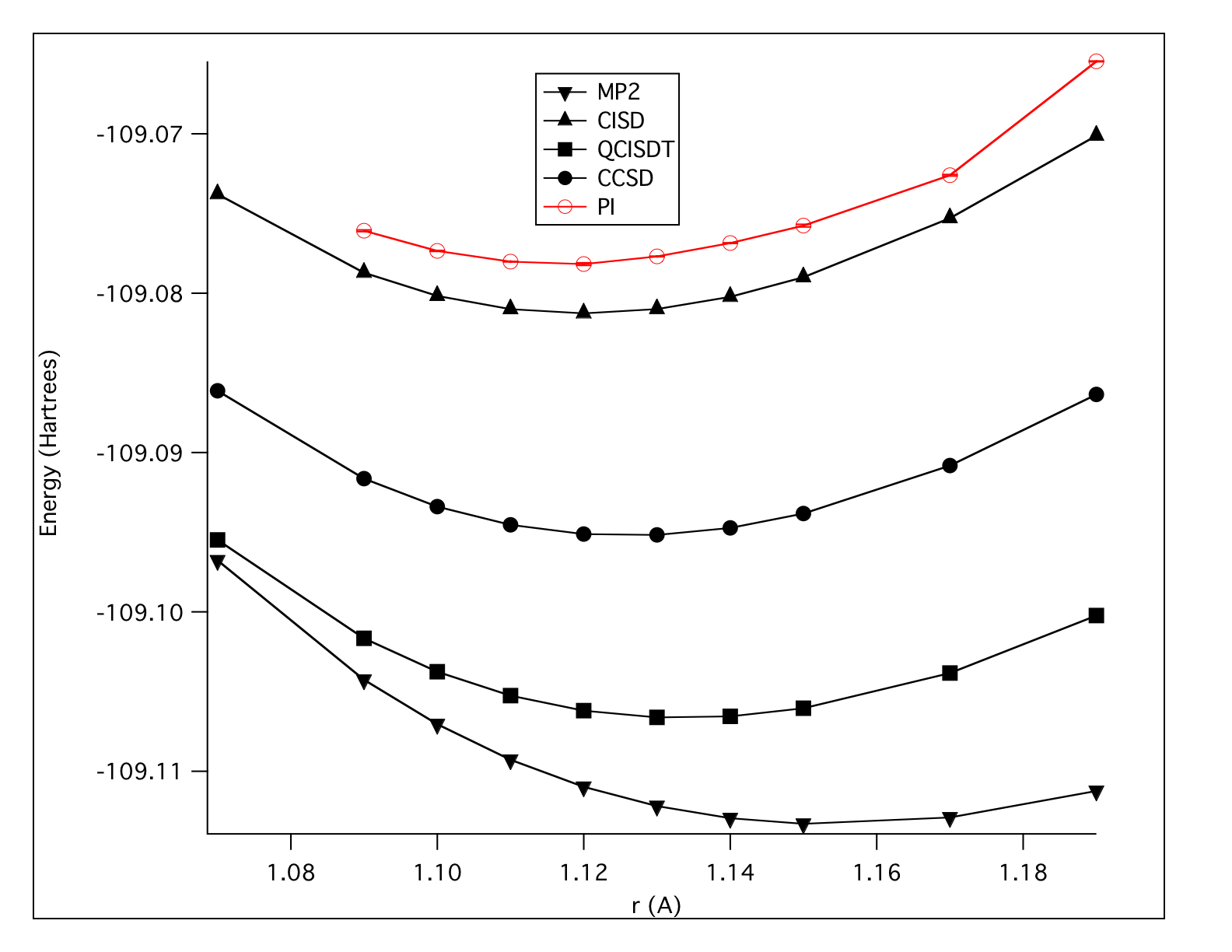
Path Integral Formulation of Quantum Mechanics

We are developing new simulation methods that allow the simultaneous treatment of electronic and geometric degrees of freedom. Such a method will qualitatively improve the efficiency of such simulations. Feynman’s path integral formulation of quantum mechanics is being used in this effort. A new project studies the structure of negatively charged water clusters, investigating where the excess electron is bound to the surface or the interior of the clusters.

 Potential energy surface for the N2 molecule, comparing the path integral approach to standard ab initio approaches.

 

Potential energy surface for the N2 molecule, comparing the path integral approach to standard ab initio approaches.

Awards & Honors

LSU Webster Parish Chapter Alumni Professor

LSU Alumni Association Faculty Excellence Award, 2001

 

Selected Publications

Gyun-Tack Bae, Barry Dellinger, and Randall W. Hall. "Density functional calculation of the structure and electronic properties of CunOn (n=1-8) clusters."  J. Phys. Chem. A, 2011, 115, 2087-2095.Gyun-Tack Bae and Randall W. Hall. "Density functional calculation of the structure and electronic properties of (CuO)n, n=1-4 clusters". Lecture Notes in Computer Science, 2009, 5545, 122-130Cheri A. McFerrin, Randall W. Hall and Barry Dellinger. "Ab Initio Study of the formation and degradation reactions of chlorinated phenols."Theochem, 2009, 902, 5-14

Randall W. Hall and Peter G. Wolynes. "Intermolecular forces and the glass transition." J. Phys. Chem. B, 2008, 112, 301-312

Cheri A. McFerrin, H. Barry Dellinger, and Randall W. Hall." Ab Initio Study of the Formation and Degradation Reactions of Semiquinone and Phenoxyl Radicals.¬† Theochem, 2008, 848, 16-23

Jacob D. Stevenson, Aleksandra M. Walczak, Randall W. Hall, and Peter G. Wolynes." Constructing explicit magnetic analogies for the dynamics of glass forming liquids." Journal of Chemical Physics, 2008, 129, 194505

Feng-Jung Wu, Larry A. Simeral, Anthony A. Mrse, Jan L. Eilertsen, Lacramioara Negureanu, Zhehong Gan, Frank R. Fronczek, Randall W. Hall, and Leslie G. Butler." Structural Characterization of Al 10 O 6 i Bu16(?-H)2, A High Aluminum-Content Cluster: Further Studies of Methylaluminoxane."Inorg. Chem., 2007, 46, 4-47

Barry Dellinger, Slawomir Lomnicki, Lavrent Khachatryan, Zofia Maskos, Randall W. Hall, Julien Adounkpe, Cheri McFerrin, Hieu Truong." Formation of stabilization of persistent free radicals." Proceedings of the Combustion Institute, 2007, 31, 521-528

Lacramioara Negureanu, Randall W. Hall, Leslie G. Butler, and Larry A. Simeral." Methylaluminoxane (MAO) polymerization mechanism and kinetic model from ab initio molecular dynamics and electronic structure calculations." J. Amer. Chem. Soc., 2006, 128, 16816-26

Randall W. Hall." Simulation of electronic and geometric degrees of freedom using a kink-based path integral formulation: Application to molecular systems." Journal of Chemical Physics, 2005, 22, 164112:1-8